| 设计 任务书 文档 开题 答辩 说明书 格式 模板 外文 翻译 范文 资料 作品 文献 课程 实习 指导 调研 下载 网络教育 计算机 网站 网页 小程序 商城 购物 订餐 电影 安卓 Android Html Html5 SSM SSH Python 爬虫 大数据 管理系统 图书 校园网 考试 选题 网络安全 推荐系统 机械 模具 夹具 自动化 数控 车床 汽车 故障 诊断 电机 建模 机械手 去壳机 千斤顶 变速器 减速器 图纸 电气 变电站 电子 Stm32 单片机 物联网 监控 密码锁 Plc 组态 控制 智能 Matlab 土木 建筑 结构 框架 教学楼 住宅楼 造价 施工 办公楼 给水 排水 桥梁 刚构桥 水利 重力坝 水库 采矿 环境 化工 固废 工厂 视觉传达 室内设计 产品设计 电子商务 物流 盈利 案例 分析 评估 报告 营销 报销 会计 | |||||
|
|||||
|
|||||
|
|||||
摘 要
为了解决好氧发酵菌剂研发效率低、精确度差等问题,本研究基于计算机网络、数据库、物联网、基因测序等技术及开源软件组(MySQL、Django、Nginx、Micropython等)等开发了一套微型好氧发酵反应器,包含微型好氧发酵装置、智能监控系统、Web平台三个模块。本文获得的主要结果如下:
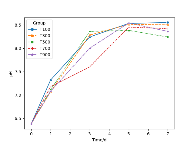
1. 研发了一种500 mL的微型好氧发酵装置,同时建立了一个基于Web的在线监控及数据分析系统Compostlab,并通过物联网将Compostlab的后台服务器和微型好氧发酵装置连接起来制备了一套微型好氧发酵反应器,从而实现了对微型好氧发酵装置中的温度、二氧化碳浓度等各项数据的实时监控和在线分析。验证试验显示:微型好氧发酵反应器中的物料pH在5天内能够从6.38上升到8以上;物料中的厚壁菌门类群相对丰度能够从不到70%上升到90%以上;体系内能持续产生二氧化碳。上述结果均表明能够利用该微型反应器开展好氧发酵反应。
2. 利用微型好氧发酵反应器分析了两株Bacillus thermoamylovorans(T11,T36),一株Ureibacillus thermosphaericus(T23),以及三株菌株复配形成的TH1复合菌剂在厨余废弃物好氧发酵快速生物干化中的作用。结果发现,加入T36菌剂的处理堆肥高温期最长,7天内有5天温度大于55℃;氧气消耗量最大,7天内共消耗7.495 g氧气;能够促进好氧发酵过程,提高嗜热菌株T36在整个堆肥过程中的相对丰度;在堆肥高温期能够迅速恢复微生物群落多样性,并在堆肥过程中动态富集了耐高温降解菌属Lactobacillus、Aeribacillus、Bacillus、Sporosarcina、Symbiobacterium、Vulgatibac等。
综上所述,该反应器能够极大地减少好氧发酵反应体积,能够为大规模好氧发酵试验提供一个便捷的平台,可助力好氧发酵菌剂与工艺的研发。
关键词:好氧发酵,菌剂,反应器,物联网
Abstract
In order to solve the problems of low efficiency and poor accuracy in the research and development of aerobic fermentation microbial inoculants, a miniature aerobic fermentation reactor was developed based on computer network, database, Internet of things, gene sequencing and open source software groups (MySQL, Django, Nginx, Micropython, etc.). It includes three modules: miniature aerobic fermentation reactor, intelligent monitoring system and Web platform. The main results of this paper are as follows:
1. Developed a 500 mL miniature aerobic fermentation device, and an on-line monitoring and data analysis system based on Web was established. A miniature aerobic fermentation reactor was prepared by connecting the background server and the miniature aerobic fermentation device through the Internet of things. Thus the real-time monitoring and on-line analysis of the data such as temperature and carbon dioxide concentration in the miniature aerobic fermentation device are realized. The verification test shows that the material pH in the miniature aerobic fermentation reactor can rise from 6.38 to more than 8 in 5 days, the relative abundance of thick-walled bacteria in the material can increase from less than 70% to more than 90%, and carbon dioxide can be produced continuously in the system. The above results show that the miniature reactor can be used to carry out aerobic fermentation.
2. This Miniature aerobic fermentation reactor was used to analyze the role of two strains of Bacillus thermoamylovorans (T11 T36), one strain Ureibacillus thermosphaericus (T23) and a combination of the three strains TH1 in the rapid bio-drying of kitchen waste by aerobic fermentation. The results showed that the treatment with T36 inoculum had the longest high temperature period, with 5 days in 7 days when the temperature was higher than 55°C; the oxygen consumption was the largest, with a total consumption of 7.495 g of oxygen in 7 days; it could promote the aerobic fermentation process and improve The relative abundance in the whole composting process; the microbial community diversity can be quickly restored during the composting high temperature period, and the high-temperature-resistant degrading bacteria genera Lactobacillus, Aeribacillus, Bacillus, Sporosarcina, Symbiobacterium, Vulgatibac, etc. were dynamically enriched during the composting process.
In conclusion, this reactor can greatly reduce the volume of aerobic fermentation reactions and provide a convenient platform for large-scale composting experiments. It can help with the research and development of aerobic fermentation bacteria agents and processes.
Key words: Aerobic fermentation, Bacterial agents, Reactors, Internet of things
目 录
第一章 绪论
1.1研究背景及现状分析
1.1.1我国有机废弃物产量大利用潜力高
1.1.2好氧发酵是有机废弃物处理与资源化利用的重要途径之一
1.1.3高通量测序在好氧发酵微生物过程研究中的进展
1.1.4外源微生物接种菌剂能够加速好氧发酵
1.1.5好氧发酵微生物菌剂开发研究进展
1.1.6物联网在好氧发酵过程监测和调控方面具有重要潜力
1.2研究意义
1.3研究目标
1.4研究内容
1.5技术路线图
第二章 微型好氧发酵反应器设计
2.1引言
2.2微型好氧发酵装置
2.2.1装置架构
2.2.2罐体
2.2.3 U型水浴结构
2.2.4曝气结构
2.2.5端盖和底座
2.2.6智能监控
2.3在线监控及数据分析系统Compostlab
2.3.1整体框架与功能设计
2.3.2数据库设计
2.3.3系统架构
2.3.4用户界面
2.3.5数据传输流设计
2.3.6功能模块说明
2.3.7使用流程
2.4微型好氧发酵反应器的集成
2.4.1整合反应装置和后台系统
2.4.2微型好氧发酵反应器的测试调整
2.5小结
第三章 微型体系下的好氧发酵
3.1引言
3.2材料与方法
3.2.1试验材料
3.2.2试验设置
3.2.3测定方法
3.3结果与讨论
3.3.1温度与氧气
3.3.2 pH
3.3.3细菌群落的分类学组成分析
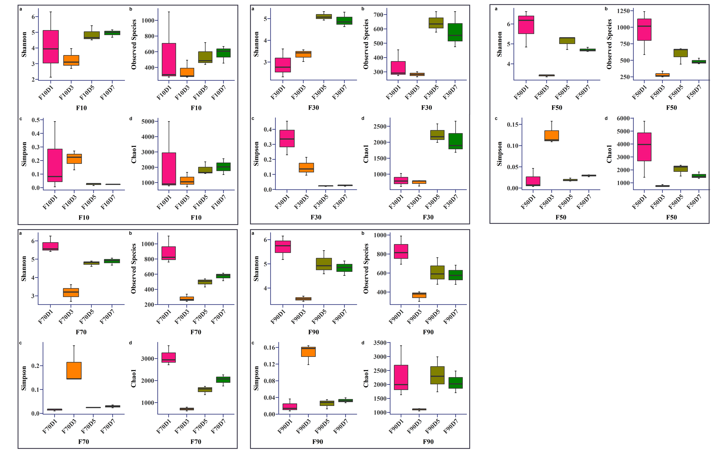
3.3.4细菌群落Alpha多样性分析
3.3.5细菌群落Beta多样性分析
3.4小结
第四章 快速生物干化菌剂的开发
4.1引言
4.2材料与方法
4.2.1试验材料
4.2.2试验设置
4.2.3测定方法
4.3理化指标结果与讨论
4.4微生物指标结果与讨论
4.4.1细菌群落的分类学组成分析
4.4.2细菌群落的Alpha多样性分析
4.4.3细菌群落多重比较
4.4.4细菌群落网络分析
4.5小结
第五章 结论与展望
5.1结论
5.2展望
参考文献
致 谢
附录






































毕业66资料站 biye66.com ©2015-2026 版权所有 | 微信:15573586651 QQ:3903700237
本站毕业设计和毕业论文资料均属原创者所有,仅供学习交流之用,请勿转载并做其他非法用途.如有侵犯您的版权有损您的利益,请联系我们会立即改正或删除有关内容!