| 设计 任务书 文档 开题 答辩 说明书 格式 模板 外文 翻译 范文 资料 作品 文献 课程 实习 指导 调研 下载 网络教育 计算机 网站 网页 小程序 商城 购物 订餐 电影 安卓 Android Html Html5 SSM SSH Python 爬虫 大数据 管理系统 图书 校园网 考试 选题 网络安全 推荐系统 机械 模具 夹具 自动化 数控 车床 汽车 故障 诊断 电机 建模 机械手 去壳机 千斤顶 变速器 减速器 图纸 电气 变电站 电子 Stm32 单片机 物联网 监控 密码锁 Plc 组态 控制 智能 Matlab 土木 建筑 结构 框架 教学楼 住宅楼 造价 施工 办公楼 给水 排水 桥梁 刚构桥 水利 重力坝 水库 采矿 环境 化工 固废 工厂 视觉传达 室内设计 产品设计 电子商务 物流 盈利 案例 分析 评估 报告 营销 报销 会计 | |||||
|
|||||
|
|||||
|
|||||
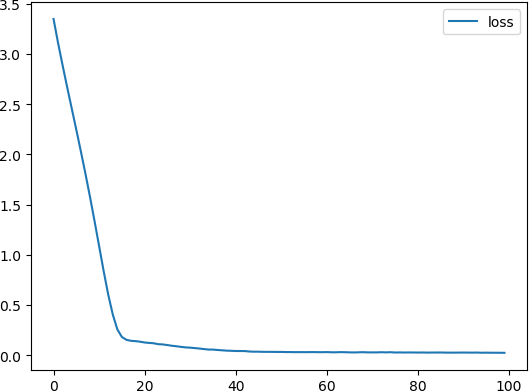
❖目录❖摘要 3一、问题描述 3┊1.1 绪论 3┊❖1.2 当前股票预测的方法概述 4❖1.3 本文所使用的模型 5❖二、数据集说明 5❖2.1 tushare 库和 Talib 库概要 5❖2.2 获取历史行情数据 6装 2.3 实现代码: 7❖2.4 数据预处理 9❖2.5 设计代码 10┊2.6股票预测使用数据说明 11┊2.7特征工程处理 14┊订 2.8 输出数据说明 16❖三、LSTM 模型 16❖3.1 LSTM 模型概要 16❖3.2 股票预测模型特征分析 17❖3.3 本文所使用的 LSTM 结构 18❖3.4 本次实验所采用的结构图 19线 四、实验流程和结果 19❖4.1 数据获取 19❖4.2 Pytorch 工具集概要 19❖4.3 Pytorch 指令解析 19┊4.4搭建 LSTM 预测模型 21┊4.5拟合结果评估方法概要 21┊❖4.6 项目附件说明 24❖4.7 项目使用说明书 24┊❖摘要┊❖为对股票价格的涨跌幅度进行预测,本文使用了基于长短期记忆网络(LSTM)的方法。根❖据股票涨跌幅问题, 通过对股票信息作多值量化分类,将股票预测转化成一个多维函数拟❖合问题。将股票的历史基本交易信息作为特征输入,利用神经网络对其训练,最后对股票的❖涨跌幅度做分类预测。数据集为代号 510050 的上证股票,实验结果表明该模型在单纯预测❖涨跌的情况下有比较好的预测效果。

















毕业66资料站 biye66.com ©2015-2026 版权所有 | 微信:15573586651 QQ:3903700237
本站毕业设计和毕业论文资料均属原创者所有,仅供学习交流之用,请勿转载并做其他非法用途.如有侵犯您的版权有损您的利益,请联系我们会立即改正或删除有关内容!