| 设计 任务书 文档 开题 答辩 说明书 格式 模板 外文 翻译 范文 资料 作品 文献 课程 实习 指导 调研 下载 网络教育 计算机 网站 网页 小程序 商城 购物 订餐 电影 安卓 Android Html Html5 SSM SSH Python 爬虫 大数据 管理系统 图书 校园网 考试 选题 网络安全 推荐系统 机械 模具 夹具 自动化 数控 车床 汽车 故障 诊断 电机 建模 机械手 去壳机 千斤顶 变速器 减速器 图纸 电气 变电站 电子 Stm32 单片机 物联网 监控 密码锁 Plc 组态 控制 智能 Matlab 土木 建筑 结构 框架 教学楼 住宅楼 造价 施工 办公楼 给水 排水 桥梁 刚构桥 水利 重力坝 水库 采矿 环境 化工 固废 工厂 视觉传达 室内设计 产品设计 电子商务 物流 盈利 案例 分析 评估 报告 营销 报销 会计 | |||||
|
|||||
|
|||||
|
|||||
第一章 引言 3
1.1研究背景及意义 3
1.2研究现状 3
1.3行文思路及框架 4
第二章 数据探索性分析 6
2.1目标变量 6
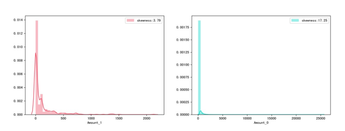
2.2特征分布 6
2.3特征与标签相关性分析 8
2.4离群点分析 9
第三章 数据预处理与特征工程 10
3.1数据预处理 10
3.2特征工程 10
3.3特征选择-PIMP 12
第四章 异常点检测办法 14
4.1孤立森林算法简介 14
4.2实验验证 15
4.3异常点检测的使用建议 16
第五章模型设计与分析 17
5.1LightGBM 17
5.1.1LightGBM 原理 17
5.1.2模型优化思路 17
5.1.3实验结果 18
5.2神经网络 20
5.2.1神经网络原理 20
5.2.2神经网络搭建 21
5.2.3实验结果 22
5.3Catboost 22
5.3.1Catboost 原理 22
5.3.2实验结果 22
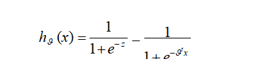
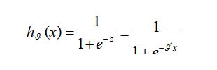
5.4Logistic 回归 23
5.4.1Logistic 回归原理 23
5.4.2实验结果 24
5.5模型运行时间对比 24
5.6模型的融合示意图 25
总结 26
参考文献 27
随着社会经济、信息技术水平不断提高,越来越多的人开始使用信用卡进行交易,信用卡已成为现代生活中非常重要的支付手段。在我国,虽然信用卡发展时间较短但发展速度迅猛。信用卡透支消费已成为中国新型消费模式,并有望在不久的将来成为主要消费模式。伴随着信用卡使用规模的迅速扩大,信用卡欺诈问题变得越来越严峻,解决此问题已变得刻不容缓。信用卡欺诈问题不仅在经济上令银行蒙受巨额损失,还让银行因此失去大量客户资源,极大地影响了我国商业银行风险控制情况,严重阻碍金融系统的正常发展壮大。
至此如何采用统计方法和机器学习模型对信用卡交易中的欺诈判别成为银行金融机构关注的重点问题,同时针对于信用卡欺诈样本的稀缺性,与非欺诈样本的占比极不均衡方面的问题,将采用何种策略与方法能更好的处理不平衡分类成为金融业界关注的重点方向。


















































毕业66资料站 biye66.com ©2015-2026 版权所有 | 微信:15573586651 QQ:3903700237
本站毕业设计和毕业论文资料均属原创者所有,仅供学习交流之用,请勿转载并做其他非法用途.如有侵犯您的版权有损您的利益,请联系我们会立即改正或删除有关内容!