| 设计 任务书 文档 开题 答辩 说明书 格式 模板 外文 翻译 范文 资料 作品 文献 课程 实习 指导 调研 下载 网络教育 计算机 网站 网页 小程序 商城 购物 订餐 电影 安卓 Android Html Html5 SSM SSH Python 爬虫 大数据 管理系统 图书 校园网 考试 选题 网络安全 推荐系统 机械 模具 夹具 自动化 数控 车床 汽车 故障 诊断 电机 建模 机械手 去壳机 千斤顶 变速器 减速器 图纸 电气 变电站 电子 Stm32 单片机 物联网 监控 密码锁 Plc 组态 控制 智能 Matlab 土木 建筑 结构 框架 教学楼 住宅楼 造价 施工 办公楼 给水 排水 桥梁 刚构桥 水利 重力坝 水库 采矿 环境 化工 固废 工厂 视觉传达 室内设计 产品设计 电子商务 物流 盈利 案例 分析 评估 报告 营销 报销 会计 | |||||
|
|||||
|
|||||
|
|||||
混沌数字图像加密技术研究与仿真实现
近年来,图像数据信息的安全性逐渐受到人们的关注,为了保证图像的可靠传输,混沌系统被引入图像加密技术。本文主要研究了两种基于混沌系统的图像加密方案。第一种方案是基于超混沌系统和 DNA 编解码运算相结合的图像加密算法,该算法对图像分块进行加密,由混沌系统生成的混沌序列决定每一图像块的 DNA 编解码和运算方式。针对该算法密钥空间较低以及不能抵御裁剪攻击的问题,本文增加了算法中混沌系统的个数,优化了加密的流程。仿真结果表明改进后的加密算法密钥容量提升至 10127 数量级,可以抵抗穷举密钥攻击;加密后图像相邻元素相关性降低至 10-3 数量级,且加密后图像具备抗裁剪性能。另一方面,基于超混沌系统和 DNA 编解码运算的加密算法复杂度较高, 不适用高效图像加密应用场景,因此本文又研究了基于混沌系统和离散余弦变换(DCT)相结合的图像加密压缩算法。此类算法可以在保证图像安全性的同时对图像数据进行压缩,从而提升图像传输的效率。鉴于传统混沌系统 DCT 加密算法的加密过程比较单一,本文在此基础上引入了符号加密,并且将加密后的结果存储为一维数据。仿真结果表明改进后算法的密钥容量达到 1074 数量级。当压缩率低
于 64:10 时,解密后还原的图像在视觉效果上和原始图像区别较小,同时,可以根据实际需要,更改压缩矩阵从而获得不同的压缩率,从而提升图像的传输效率。
Research and Simulation of Chaotic Digital Image Encryption Technology
Abstract
In recent years, the security of image data has been paid more and more attention. In order to ensure the reliable transmission of images, the chaotic system is introduced into image encryption technology. This paper mainly studies two image encryption schemes based on chaotic systems. The first scheme is an image encryption algorithm based on the combination of hyperchaotic system and DNA encoding, decoding and computing. This algorithm encrypts the blocks of image. The chaotic sequence generated by the chaotic system determines the DNA coding, decoding, and computing modes of each image blocks. For the problem that the algorithm has a low key space and cannot resist the cropping attack, this paper increases the number of chaotic systems in the algorithm and optimizes the encryption process. The simulation results show that the key capacity of the improved encryption algorithm is improved to 10127 order of magnitude, which can resist the exhaustive key attack; after the encryption, the correlation of the adjacent elements of the image is reduced to 10-3 orders of magnitude, and the encrypted image has the anti-clipping performance. On the other hand, encryption algorithms based on hyperchaotic systems and DNA coding, decoding and computing are highly complex and are not suitable for the application scenarios of high-efficiency image encryption. Therefore, this paper also studies an image encryption and compression algorithm based on chaotic systems and discrete cosine transform (DCT). Such algorithms can compress image data while ensuring image security, thereby improving the efficiency of image transmission. In view of the fact that the encryption process of the traditional chaotic DCT encryption algorithm is relatively simple, this paper introduces symbol encryption and stores the encrypted result as one-dimensional data. The simulation results show that the
improved algorithm has a key capacity of 1074 orders of magnitude. When the compression rate is lower than
64:10, the image after decryption has little difference with the original image on the visual effects. In addition, the compression matrix can be changed to obtain different compression rates according to actual needs, which can improve the image transmission efficiency.
目 录
1绪论 1
1.1课题研究背景和意义 1
1.2课题研究现状 1
1.3本文主要研究内容及结构安排 2
2混沌系统与 DNA 编码 3
2.1混沌系统 3
2.1.1混沌的特性 3
2.1.2Logistic 映射 3
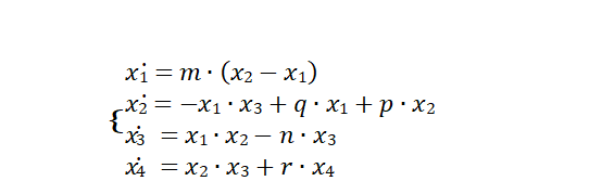
2.1.3Chen 超混沌系统 3
2.2DNA 编解码与运算 4
2.2.1DNA 编码与解码规则 4
2.2.2DNA 运算法则 5
3基于混沌系统与 DNA 运算的图像加密系统 7
3.1加密算法思想 7
3.2加密算法具体步骤 8
3.3解密算法具体步骤 10
3.4实验仿真及性能分析 11
3.4.1实验仿真结果 11
3.4.2直方图分析 12
3.4.3相邻位置数据值关联性 12
3.4.4抗裁剪性能 16
3.4.5抗噪声性能 18
3.4.6图像质量评价 19
3.4.7信息熵 20
3.4.8密钥敏感性 21
3.4.9密钥容量 23
4基于混沌系统与 DCT 变换的图像压缩加密系统 24
4.1加密算法结构 24
4.2DCT 压缩加密算法具体步骤 24
4.3DCT 解密解压算法步骤 26
4.4实验仿真及性能分析 27
4.4.1实验仿真结果 27
4.4.2不同压缩比情况下的解密结果 28
4.4.3密钥敏感性分析 29
4.4.4密钥容量计算 29
5总结与展望 30
5.1 总结 30
5.2 展望 31
主要参考文献 32
致谢 33













































































毕业66资料站 biye66.com ©2015-2026 版权所有 | 微信:15573586651 QQ:3903700237
本站毕业设计和毕业论文资料均属原创者所有,仅供学习交流之用,请勿转载并做其他非法用途.如有侵犯您的版权有损您的利益,请联系我们会立即改正或删除有关内容!