| 设计 任务书 文档 开题 答辩 说明书 格式 模板 外文 翻译 范文 资料 作品 文献 课程 实习 指导 调研 下载 网络教育 计算机 网站 网页 小程序 商城 购物 订餐 电影 安卓 Android Html Html5 SSM SSH Python 爬虫 大数据 管理系统 图书 校园网 考试 选题 网络安全 推荐系统 机械 模具 夹具 自动化 数控 车床 汽车 故障 诊断 电机 建模 机械手 去壳机 千斤顶 变速器 减速器 图纸 电气 变电站 电子 Stm32 单片机 物联网 监控 密码锁 Plc 组态 控制 智能 Matlab 土木 建筑 结构 框架 教学楼 住宅楼 造价 施工 办公楼 给水 排水 桥梁 刚构桥 水利 重力坝 水库 采矿 环境 化工 固废 工厂 视觉传达 室内设计 产品设计 电子商务 物流 盈利 案例 分析 评估 报告 营销 报销 会计 | |||||
|
|||||
|
|||||
|
|||||
目录
电影推荐系统
1. 数据描述
2. 变量说明
3. 程序介绍
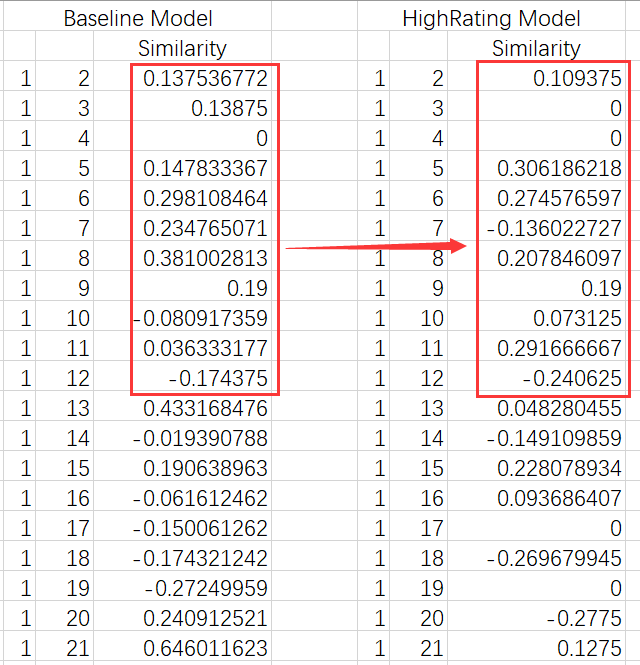
本次课程作业在 small-movielens 数据集的基础上,对用户、电影、评分数据进行了处理,然后根据 Pearson 相关系数计算出用户与其他用户之间的相似度,根据相似度进行推荐和预测评分,最后再根据数据集中的测试数据,计算该推荐系统的MAE等。
数据集来源于MovieLens|GroupLens网站。完整的数据集是由 943 个用户对 1682 个项目的 100000 个评分组成。每位用户至少对 20 部电影进行了评分。用户和项从 1 开始连续编号。数据是随机排列的。这是一个以选项卡分隔的:用户id|项id|分级|时间戳 列表。从 1970年1月1日 UTC 开始,时间戳是unix时间戳。在这些数据集的基础上,small-movielens 还包括 u1-u5,ua,ub 等七组测试集 (*.base)/训练集 (*.test) 数据。其中,u1-u5 是以 8:2 的比例随机生成互斥的训练集和测试集;ua、ub 是按照 9:1 的比例随机生成的互斥的训练集和测试集,不同的是,这两组数据的测试集中每个用户是对正好 10 部不同电影进行了评分。数据集如下图所示。
・ users :保存所有用户,不重复 list 类型 存储结构:[user1, user2,...]
・ userWatchedMovie :保存所有用户看过的所有电影,字典嵌套字典类型 存储结构:{user1:{movie1:rating1, movie2:rating2, ...}, user2:{...},...}
・ movieUser :保存用户与用户之间共同看过的电影,字典嵌套字典嵌套 list 存储结构:{user1:{user2:[movie1,...],user3:[...],...},user2:{user3:[...],...},...}
・ userSimilarity :保存用户与用户之间的相似度(皮尔逊相似度) 存储结构:{user1:{user2:sim, user3:sim,...}, user2:{user3:sim, ...}, ...}
・ allUserTopNSim :保存每个用户都取前 n=10 个最相似的用户,以及相似度 存储结构:{user1:{user01:sim,user02:sim,...},user2:{user01:sim,...},...}
・ recommendedMovies :从最相似的用户中推荐,每个相似用户推荐两部,同时计算出预测值并保存在这个变量里 存储结构:{user1:{user01:{movie01:predictionRating,...},user02:[...],...},user2:{user01:[...],...},...}
・ usersTest :测试集文件中的所有用户 存储结构:同 users
・ userWatchedMovieTest :测试集文件中所有用户看过的所有电影 存储结构:同 userWatchedMovie
・ movieAlsoInTest :保存推荐的电影正好也在用户测试数据中看过的那一些电影,以便后面进行 MAE 计算 存储结构:{user1:[movie1,movie2,...],...}
・ averageRating :保存每个用户对被推荐的电影的预测平均分 存储结构:{user1:{movie01:[count,sumPreRating,averageRating],...},...}
・ eachUserMAE :保存对每个用户而言计算出的 MAE 存储结构:{user1:MAE,user2:MAE,...}




































毕业66资料站 biye66.com ©2015-2026 版权所有 | 微信:15573586651 QQ:3903700237
本站毕业设计和毕业论文资料均属原创者所有,仅供学习交流之用,请勿转载并做其他非法用途.如有侵犯您的版权有损您的利益,请联系我们会立即改正或删除有关内容!