| 设计 任务书 文档 开题 答辩 说明书 格式 模板 外文 翻译 范文 资料 作品 文献 课程 实习 指导 调研 下载 网络教育 计算机 网站 网页 小程序 商城 购物 订餐 电影 安卓 Android Html Html5 SSM SSH Python 爬虫 大数据 管理系统 图书 校园网 考试 选题 网络安全 推荐系统 机械 模具 夹具 自动化 数控 车床 汽车 故障 诊断 电机 建模 机械手 去壳机 千斤顶 变速器 减速器 图纸 电气 变电站 电子 Stm32 单片机 物联网 监控 密码锁 Plc 组态 控制 智能 Matlab 土木 建筑 结构 框架 教学楼 住宅楼 造价 施工 办公楼 给水 排水 桥梁 刚构桥 水利 重力坝 水库 采矿 环境 化工 固废 工厂 视觉传达 室内设计 产品设计 电子商务 物流 盈利 案例 分析 评估 报告 营销 报销 会计 | |||||
|
|||||
|
|||||
|
|||||
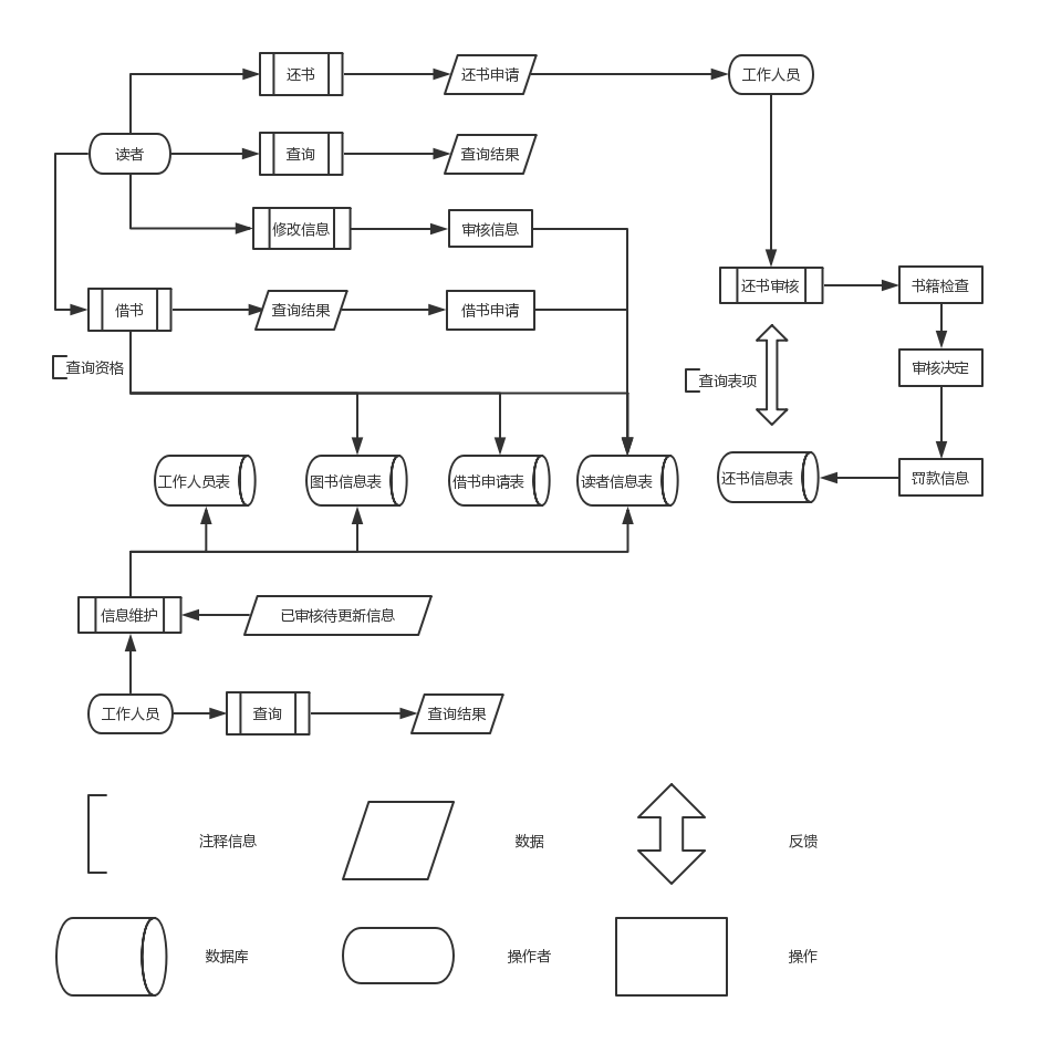
图书管理系统目录图书管理系统 1一、综合实践任务 11.1 系统设计目标 11.2 需求分析 2工作人员任务 2读者功能 2额外提示 21.3 总体设计 31.4 数据库设计 41.5 详细设计 91.5.1 流程图设计 91.5.2 文件设计 151.5.3 文件说明 151.5.4 SQL 语句说明 161.6 系统测试 161.7 系统设计与实现总结 32二、课程总结 33三、附录 33一、综合实践任务1.1 系统设计目标假设图书馆的工作人员要处理下列日常工作:借书:核实读者身份并检查是否存在下述情况:该读者借书的数额超标;该读者所借的书过期未还;该读者曾因借书过期被罚款而未交;如不存在上述情况,则登记借书信息;还书:检查所还图书是否损坏或过期,是则登记罚单信息并打印罚单,在交纳罚金前,不允许该读者继续借书。若图书损坏,注销该图书信息,否则进行还书登记。罚款:根据罚单收取罚金,同时取消该读者的借书限制。图书信息维护:新书上架、旧书下架及图书信息查询。读者信息维护:录入、注销、修改及查询读者信息。此外,图书馆还应向读者提供下列基本功能:查询图书信息;查询自己的基本信息和借书记录;续借;设计一个 B/S 或 C/S 模式的系统实现上述功能。1.2 需求分析实验需要设计一个图书管理系统,操作对象为管理人员和读者,要求能完成一定的功能,具体功能要求如下:工作人员任务图书信息维护:增删改书籍信息读者信息维护:增删改读者信息审核还书资格:查看书籍状态(是否损坏),给出损坏罚款或逾期罚款或还书成功决定读者功能借书:提交借书申请,在可借书状态下借书或续借申请还书:提交还书申请缴纳罚款:查询已提交且需交款的还书申请单,缴纳罚款。查询个人信息以及借书记录、查询图书信息额外提示不限制读者借书类型,但每本书只能续借一次(时间 30 天),需归还书籍后才可重新借阅。读者每次登录需在没有罚款的情况下,才可借书。读者借书有最大借书量限制,每本书也有当前存量限制。读者提出还书申请时间默认为还书时间,但具体还书信息回馈需等待工作人员审核。

























毕业66资料站 biye66.com ©2015-2026 版权所有 | 微信:15573586651 QQ:3903700237
本站毕业设计和毕业论文资料均属原创者所有,仅供学习交流之用,请勿转载并做其他非法用途.如有侵犯您的版权有损您的利益,请联系我们会立即改正或删除有关内容!