设计 任务书 文档 开题 答辩 说明书 格式 模板 外文 翻译 范文 资料 作品 文献 课程 实习 指导 调研 下载 网络教育 计算机 网站 网页 小程序 商城 购物 订餐 电影 安卓 Android Html Html5 SSM SSH Python 爬虫 大数据 管理系统 图书 校园网 考试 选题 网络安全 推荐系统 机械 模具 夹具 自动化 数控 车床 汽车 故障 诊断 电机 建模 机械手 去壳机 千斤顶 变速器 减速器 图纸 电气 变电站 电子 Stm32 单片机 物联网 监控 密码锁 Plc 组态 控制 智能 Matlab 土木 建筑 结构 框架 教学楼 住宅楼 造价 施工 办公楼 给水 排水 桥梁 刚构桥 水利 重力坝 水库 采矿 环境 化工 固废 工厂 视觉传达 室内设计 产品设计 电子商务 物流 盈利 案例 分析 评估 报告 营销 报销 会计
Logo 顶部广告
首页 | 机械毕业设计 | 电子电气毕业设计 | 计算机毕业设计 | 土木工程毕业设计 | 视觉传达毕业设计 | 理工论文 | 文科论文 | 毕设资料 | 帮助中心
今天是: |>>> 您现在的位置:首页>>>>文档详细内容
标题:

基于Matlab平台的虚拟现实人机交互方式研究与实验评估 毕业论文+任务书+开题报告+外文翻译及原文+答辩PPT+代码及数据


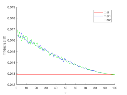
摘  要新世纪开始后,上个世纪研究虚拟现实(Virtual Reality,VR)的浪潮并没有消失,反而愈发蓬勃发展。但随着VR技术的更新,三维空间中的抖动扩大化问题也越来越不可忽视。抖动,是抖动是在操作过程中由于器械或人力因素导致的操作误差,会造成操作精度的下降。二维空间中也同样存在着抖动问题,但三维空间会将已存的抖动进一步扩大,造成使用者人机交互(Human-Computer Intelligence,HCI)时的困扰。在此背景下,研究三维VR空间中的抖动问题是非常有意义的。现存的交互方式非常多,为明确主流的交互方式,本文于文内以分类的方式对它们做了综述,包括交互隐喻、手势交互、语音交互与触觉交互等,得出的结论是手柄类的交互方式仍占主流地位。它是人们在个人电脑上使用的鼠标键盘在VR中最合适的对应。因此,本文选择了HTC Vive这一成熟的主流硬件平台,搭配Steam VR引擎,进行了一系列实验以探究三维VR空间的抖动问题。鉴于本文以实验为最终落脚点,本文对优化实验的必要评估方法进行了综述与总结。本文首先在Matlab平台上采集了鼠标数据并进行了二维空间中的抖动分析,然后理论化地为二维抖动添加了第三维的小扰动,模拟了三维空间中的抖动情况,证明了三维空间中的抖动确实会相比二维空间中更大。然后,本文一共进行了三个实验,探究使用Steam VR引擎和HTC Vive的条件下三维抖动情况。注意到实验者握持手柄的姿势可能影响抖动大小,本文设置了弯臂与直臂两种握持手柄的姿势。第一个实验是三维VR空间中静止情况下的实验者弯臂和直臂握持手柄直接接触时手部抖动定量测量;第二个实验是三维VR空间中实验者自由握持手柄在进行直线型轨迹的情况下手部抖动定量测量;最后一个实验是三维VR空间中实验者弯臂和直臂握持手柄发射射线时的手部抖动定量测量。另外,本文还验证了费茨定律在三维VR空间中仍可成立。本文搭建了一个完整的VR室内场景,配以完整的物理引擎,可以让初次进行实验的实验者的沉浸感较好。本文进行的实验定量分析了实验者的手部抖动情况,可以为未来的VR开发者提供一些基于用户的误差数据,能一定程度上帮助他们更好地设计系统各数值。关 键 词:VR;人机交互;抖动测量;费茨定律;ABSTRACTSince the beginning of the new century, the tide of virtual reality (VR) research in the last century has not disappeared, but is growing vigorously. However, with the updating of VR technology, the problem of jitter enlargement in three-dimensional space can not be ignored. Jitter is the operation error caused by equipment or manpower factors in the operation process, which will result in the decline of operation accuracy. The problem of jitter also exists in two-dimensional space, but three-dimensional space will further expand the existing jitter, which will cause the user's human-computer interaction (HCI) problems. In this context, it is very meaningful to study the jitter problem in three-dimensional VR space.There are many ways of interaction. In order to clarify the mainstream way of interaction, after consulting the literature, this paper summarizes them in a categorized way, including interactive metaphor, gesture interaction, voice interaction and tactile interaction, and draws the conclusion that the handle type of interaction still occupies the mainstream position. It is the most appropriate corresponding of the mouse keyboard used in personal computers in VR. Therefore, this paper chooses HTC Vive, a mature mainstream hardware platform, with Steam VR engine, to carry out a series of experiments to explore the jitter problem of three-dimensional VR space. In view of the experiment as the final foothold, this paper summarizes and summarizes the necessary evaluation methods for optimizing the experiment.Firstly, we collect mouse data on the platform of Matlab and analyze the jitter in two-dimensional space. Then we theoretically add a small third-dimensional perturbation to the two-dimensional jitter and simulate the jitter in three-dimensional space. It proves that the jitter in three-dimensional space is indeed larger than that in two-dimensional space. Then, three experiments are conducted to investigate the three-dimensional jitter using Steam VR engine and HTC Vive. Noting that the posture of the experimenter holding the handle may affect the jitter size, two kinds of postures, bending arm and straight arm, were set up in this paper. The first experiment is the quantitative measurement of hand jitter when the experimenter's elbow and straight arm grip handle are in direct contact in three-dimensional VR space at rest; the second experiment is the quantitative measurement of hand jitter when the experimenter freely grips the handle in three-dimensional VR space under linear trajectory; and the last experiment is when the experimenter's elbow and straight arm grip handle emit rays in three-dimensional VR space. Quantitative measurement of hand jitter. In addition, Fitz's law can still be validated in three-dimensional VR space.In this paper, a complete VR indoor scene, coupled with a complete physical engine, can make the first experimenter feel better immersion. The experiment carried out in this paper quantitatively analyzed the hand jitter of the experimenters. It can provide some user-based error data for future VR developers, and help them better design the values of the system to a certain extent.KEY WORDS: VR; HCI; jitter measurement; Fitt’s Law目  录目  录 VIII1 绪论 11.1.1 选题意义和研究背景 11.1.2 主要工作内容 12 现存的交互方式 32.1 交互系统的输入的不同隐喻 32.1.1 直接映射式输入(同构) 32.1.2 间接映射式输入(非同构) 32.2 交互系统的用户位置的不同隐喻 52.3 手势与姿势交互 52.3.1 手势识别交互技术分类 62.3.2 自由度分离下的手势操作 62.3.3 触觉反馈 72.3.4 语音输入 73 VR交互技术评估方法 83.1 VR交互评估的必要性 83.2 评估的分类 83.2.1 认知演练 83.2.2 启发式评估 83.2.3 形成性评估 83.2.4 对比评估 83.2.5 问卷调查 83.2.6 访谈 93.3 影响评估的额外因素 93.3.1 物理环境因素 93.3.2 评估者因素 93.3.3 实验者因素 93.4 评估方法总结 104 二维空间中的抖动测量 114.1 测量二维空间抖动的必要性 114.2 实验配置 114.2.1 硬件配置 114.2.2 软件配置 114.3 实验记录 114.3.1 实验目标 114.3.2 实验数据采集 124.3.3 模拟三维空间扰动分析 135 VR三维空间中的抖动测量 155.1 实验内容 155.2 实验配置 165.2.1 硬件配置 165.2.2 HTC Vive介绍 165.2.3 实验前调查问卷 175.3 实验VR场景搭建 195.3.1 背景与基本实验组件配置 195.3.2 CameraRig的y轴配置 195.3.3 Vive手柄静态抖动 205.4 实验1:弯臂与直臂握持手柄静止直接接触情况下的抖动测量 215.4.1 实验场景与组件设置 215.4.2 实验1过程设计 225.4.3 实验后调查问卷1 235.4.4 实验结果 245.5 实验2:握持手柄在交互轨迹为直线情况下的抖动测量 245.5.1 实验场景与组件设置 245.5.2 实验2过程设计 255.5.3 实验后调查问卷2 265.5.4 实验结果 265.6 实验3:弯臂与直臂握持手柄静止发射射线情况下的抖动测量 275.6.1 实验场景与组件设置 275.6.2 实验3过程设计 295.6.3 实验后调查问卷3 295.6.4 实验结果 295.7 本章小结 316 VR三维空间中的费茨定律验证 326.1 实验内容 326.2 实验场景与组件配置 326.3 实验过程设计 336.4 实验结论 347 结论与展望 35致  谢 36参考文献 37附录A 39附录B 53

























| 关于我们 | 友情链接 | 毕业设计招聘 |

毕业66资料站 biye66.com ©2015-2026 版权所有 | 微信:15573586651 QQ:3903700237

本站毕业设计和毕业论文资料均属原创者所有,仅供学习交流之用,请勿转载并做其他非法用途.如有侵犯您的版权有损您的利益,请联系我们会立即改正或删除有关内容!