| 设计 任务书 文档 开题 答辩 说明书 格式 模板 外文 翻译 范文 资料 作品 文献 课程 实习 指导 调研 下载 网络教育 计算机 网站 网页 小程序 商城 购物 订餐 电影 安卓 Android Html Html5 SSM SSH Python 爬虫 大数据 管理系统 图书 校园网 考试 选题 网络安全 推荐系统 机械 模具 夹具 自动化 数控 车床 汽车 故障 诊断 电机 建模 机械手 去壳机 千斤顶 变速器 减速器 图纸 电气 变电站 电子 Stm32 单片机 物联网 监控 密码锁 Plc 组态 控制 智能 Matlab 土木 建筑 结构 框架 教学楼 住宅楼 造价 施工 办公楼 给水 排水 桥梁 刚构桥 水利 重力坝 水库 采矿 环境 化工 固废 工厂 视觉传达 室内设计 产品设计 电子商务 物流 盈利 案例 分析 评估 报告 营销 报销 会计 | |||||
|
|||||
|
|||||
|
|||||
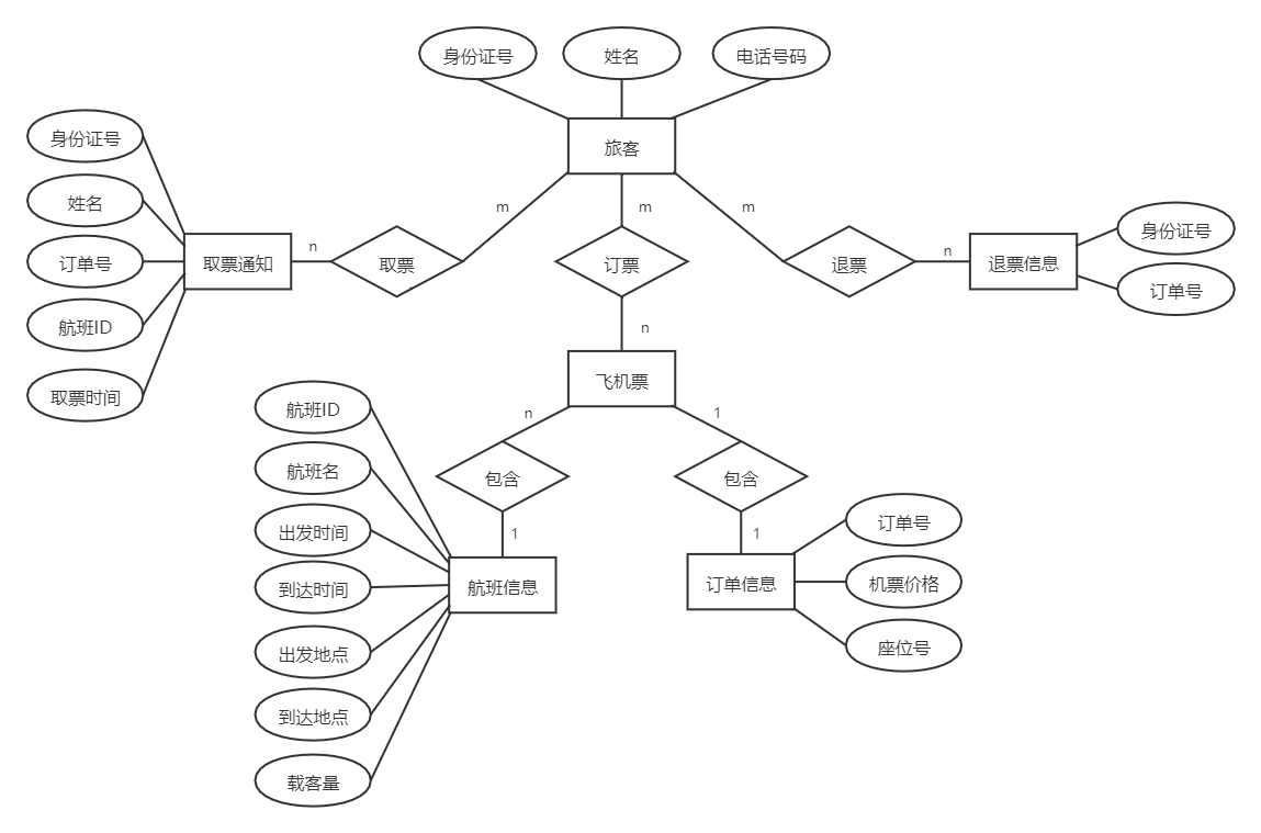
目录1. 系统设计目标 12. 需求分析 12.1 实验要求 12.2 需求分析 22.3 数据流图 32.4 系统的数据需求 43. 总体设计 53.1 功能设计 53.2 页面设计 74. 数据库设计 124.1 ER 图设计 124.2 逻辑设计 144.3 物理设计 195. 详细设计与实现 225.1 开发环境 225.2 功能详细设计 225.3 包模块设计 336. 系统测试 347. 系统设计与实现总结 587. 系统设计与实现总结 581. 系统设计目标随着社会发展的不断进步,出行选择飞机的消费者也越来越多,为了满足人们的出行需求,方便旅客购票以及机场管理,实现航空公司的现代化管理,进一步提高工作效率,需要开发一个售票及管理系统。该系统需要具有完整的存储,查询,管理,核对等功能。用户可以通过该系统进行机票的查询预订操作,机场可以对航班班次、用户订单等信息进行查询和管理。该 C/S 系统分别从管理员和用户两个角色出发,目标实现了航班管理、预订机票两大主要功能模块。管理员可以管理航班、管理班次、查看用户订单;用户可以查询航班、预订机票、退订机票。通过数据库和前后端代码的连接,实现了机票预订系统的核心逻辑和必须功能。2. 需求分析2.1 实验要求1.系统功能的基本要求每个航班信息的输入;每个航班的坐位信息的输入;当旅客进行机票预定时,输入旅客基本信息,系统为旅客安排航班,打印取票通知和帐单;旅客在飞机起飞前一天凭取票通知交款取票;旅客能够退订机票;能够查询每个航班的预定情况、计算航班的满座率。包含事务(包含 commit,rollback),存储过程/触发器,视图,函数。在程序中需要体现 SQL 和编程语言的结合。1.数据库要求:在数据库中至少应该包含下列数据表:航班信息表;航班坐位情况表;旅客订票信息表;取票通知表;





















毕业66资料站 biye66.com ©2015-2026 版权所有 | 微信:15573586651 QQ:3903700237
本站毕业设计和毕业论文资料均属原创者所有,仅供学习交流之用,请勿转载并做其他非法用途.如有侵犯您的版权有损您的利益,请联系我们会立即改正或删除有关内容!