设计 任务书 文档 开题 答辩 说明书 格式 模板 外文 翻译 范文 资料 作品 文献 课程 实习 指导 调研 下载 网络教育 计算机 网站 网页 小程序 商城 购物 订餐 电影 安卓 Android Html Html5 SSM SSH Python 爬虫 大数据 管理系统 图书 校园网 考试 选题 网络安全 推荐系统 机械 模具 夹具 自动化 数控 车床 汽车 故障 诊断 电机 建模 机械手 去壳机 千斤顶 变速器 减速器 图纸 电气 变电站 电子 Stm32 单片机 物联网 监控 密码锁 Plc 组态 控制 智能 Matlab 土木 建筑 结构 框架 教学楼 住宅楼 造价 施工 办公楼 给水 排水 桥梁 刚构桥 水利 重力坝 水库 采矿 环境 化工 固废 工厂 视觉传达 室内设计 产品设计 电子商务 物流 盈利 案例 分析 评估 报告 营销 报销 会计
Logo 顶部广告
首页 | 机械毕业设计 | 电子电气毕业设计 | 计算机毕业设计 | 土木工程毕业设计 | 视觉传达毕业设计 | 理工论文 | 文科论文 | 毕设资料 | 帮助中心
今天是: |>>> 您现在的位置:首页>>>>文档详细内容
标题:

基于Java+MySQL的健身计步兑奖APP系统 毕业论文+项目源码及数据库文件


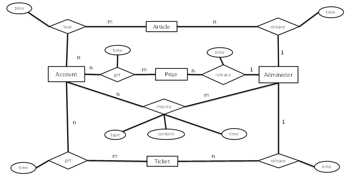
第一章 生产实习的目的、要求和内容 6第二章 可行性报告 71 引言 71.1 编写目的: 71. 2 项目背景: 71.3 参考资料: 72 可行性研究的前提 82.1 要求: 82. 2 目标: 82.3条件、假定和限制 92. 4 可行性研究方法: 92. 5 决定可行性的主要因素: 93 对现有系统的分析 103.1. 处理流程和数据流程 103.2. 工作负荷 103.3. 费用支出 103.4. 人员设备 113.5. 局限性 114. 所建议系统技术可行性分析 124.1 对系统的简要描述 124.2 与现有系统比较的优越性 124.3 采用建议系统可能带来的影响 124.3.1对现有软件的影响 124.3.2对用户的影响 124.3.3对系统运行的影响 124.2.6对运行环境的影响 124.2.7对经费支出的影响 134.4 技术可行性评价 135.1支出 145.1.1基建投资 145.1.3经常性支出 145.2收益/投资比 145.4投资回收周期 146 社会因素分析 146.1法律因素 146.2用户使用可行性 147.其他可供选择的方案 148 结论意见 15第三章 需求分析 161.引言 161.1编写目的 161.2项目背景 161.3定义 161.4参考资料 162.任务概述 162.1目标 162.2运行环境 162.3条件与限制 173.数据描述 173.1静态数据 173.2动态数据 173.3数据库介绍 173.4数据词典 173.5数据采集 194.功能需求 194.1功能划分 194.2功能描述 195.性能需求 205.1数据精确度 205.2时间特性 205.3适应性 206.运行需求 206.1用户界面 206.2硬件接口 206.3软件接口 206.4故障处理 207.其它需求 21第四章 概要设计 221.引言 221.1编写目的 221.2项目背景: 221.3定义 221.4参考资料 222.任务概述 232.1目标 232.2运行环境 232.3需求概述 232.4条件与限制 233.总体设计 233.1处理流程 233.2总体结构和模块外部设计 243.3功能分配 244.接口设计 244.1外部接口 244.2内部接口 275.数据结构设计 275.1逻辑结构设计 275.2物理结构设计 275.3数据结构与程序的关系 286.运行设计 286.1运行模块的组合 286.2运行控制 286.3运行时间 287.出错处理设计 287.1出错输出信息 287.2出错处理对策 288.安全保密设计 299.维护设计 29第五章 个人体会 301. 组长心得体会 301.1 杨东超得体会 302. 组员心得体会 312.1 XXX得体会 312.2 XXX心得体会 322.3 XXX心得体会 332.4   XXX心得体会 34第一章 生产实习的目的、要求和内容目的:本实习旨在培养学生在社会生产实际中发现问题,分析问题,确定课题,自行设计,合作完成软件项目的技术能力和组织能力。要求:⑴学生3-5人一组,到生产业务单位参加实际工作,并作调查研究;⑵课题来自实际调查,不能采用虚拟课题;⑶组内必须明确分工,密切配合;⑷要按软件工程的规定进行,各阶段必须提交相应文档。内容:⑴到生产单位或其他机构调查研究,确定课题,写出可行性报告。⑵作需求分析,写出需求规格说明书。⑶按需求规格说明书作概要设计,得出应用系统的总体结构和各模块接口规定。第二章 可行性报告1 引言随着科技的发展,越来越多的体力活被代替,更多的是一种电子化信息化的办公模式。加之人们普遍缺少锻炼的意识,不少人身体正处于一种亚健康的状态。特别是对于从事计算机行业的人来说,整日坐在电脑前过度用眼,过度用脑,而且脊椎心脏负担重,长时间坐姿,血流量不通。现在智能手机已经普及,为了鼓励教师、学生或者公司员工锻炼,通过手机的计步系统来统计步数并换得奖品,以此来鼓励人们勤加锻炼。1.1 编写目的:以计步兑换奖品的形式来鼓励人们勤加锻炼。1. 2 项目背景:1.所建议开发软件的名称:计步兑奖系统2.实现该软件单位:上海大学工会3.运行环境: 安卓和苹果4.项目的任务提出者:上海大学工会5.开发者:XXX,XXX,杨东超,XXX,XXX6.用户:学校师生1.3 参考资料:1.王向辉, 张国印, 沈洁. Android应用程序开发[M]. 北京: 清华大学出版社, 2010: 3-32.蔡剑 景楠 Java Web 应用开发:J2EE 和 Tomcat[M].北京:清华大学出版社,2004.刘亚宾,杨红,精通Eclipse[M],电子工业出版社,ISBN:7-121-00384-8,20063.Mehran Sahami. Programming Methodology[M]. Apress:the Expert’s Voice, 2008: 4-12  史4.靳岩, 姚尚朗. Google Android 开发入门与实战[M]. 北京: 人民邮电出版社, 2009: 1-12














| 关于我们 | 友情链接 | 毕业设计招聘 |

毕业66资料站 biye66.com ©2015-2026 版权所有 | 微信:15573586651 QQ:3903700237

本站毕业设计和毕业论文资料均属原创者所有,仅供学习交流之用,请勿转载并做其他非法用途.如有侵犯您的版权有损您的利益,请联系我们会立即改正或删除有关内容!