| 设计 任务书 文档 开题 答辩 说明书 格式 模板 外文 翻译 范文 资料 作品 文献 课程 实习 指导 调研 下载 网络教育 计算机 网站 网页 小程序 商城 购物 订餐 电影 安卓 Android Html Html5 SSM SSH Python 爬虫 大数据 管理系统 图书 校园网 考试 选题 网络安全 推荐系统 机械 模具 夹具 自动化 数控 车床 汽车 故障 诊断 电机 建模 机械手 去壳机 千斤顶 变速器 减速器 图纸 电气 变电站 电子 Stm32 单片机 物联网 监控 密码锁 Plc 组态 控制 智能 Matlab 土木 建筑 结构 框架 教学楼 住宅楼 造价 施工 办公楼 给水 排水 桥梁 刚构桥 水利 重力坝 水库 采矿 环境 化工 固废 工厂 视觉传达 室内设计 产品设计 电子商务 物流 盈利 案例 分析 评估 报告 营销 报销 会计 | |||||
|
|||||
|
|||||
|
|||||
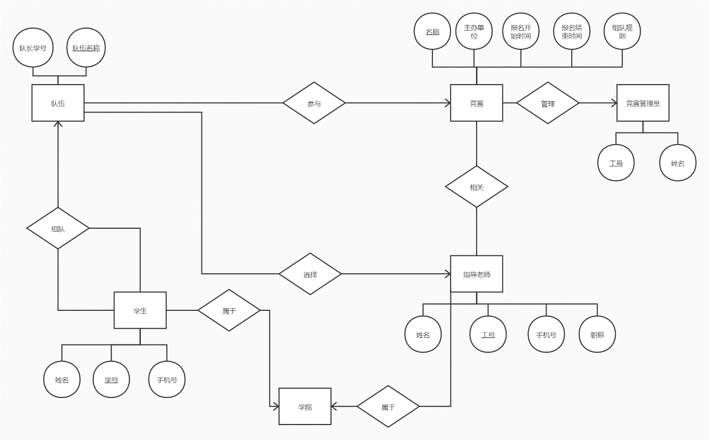
大学生竞赛发布及组队系统目录一. 需求分析 11. 背景 12. 系统目标 13. 功能需求 23.1 用例图 23.2 功能描述 34. 非功能需求 35. 设计约束 3二. 数据库设计 41. ER图 42. 表设计 43. 证明 6三. 软件编码 6四、使用说明书 7一.需求分析1.背景对于竞赛管理人员来说,竞赛报名信息的收集整理、过滤不符合报名要求的队伍和竞赛信息的存档浏览等都是较为复杂的工作,没有一个规范化的标准。对于学生来说,大学里竞赛种类繁多,而没有完全统一的发布渠道,发布平台各不相同,想一次性浏览所有正在举办的竞赛和其历史信息相当困难,报名不同竞赛需通过不同渠道,留意不同平台的通知,寻找队友和组队也并不方便。2.系统目标搭建一个统一的竞赛发布及组队系统,使竞赛管理人员只需设置好竞赛信息、组队规则就可以发布竞赛,竞赛报名信息的整理、不符合组队规则的队伍的过滤等通过系统实现,并且由系统提供所有信息的浏览功能;使学生在该系统上就可以查阅所有过去和现在的竞赛信息,并方便的填写各种信息,完成组队并参加竞赛。




















毕业66资料站 biye66.com ©2015-2026 版权所有 | 微信:15573586651 QQ:3903700237
本站毕业设计和毕业论文资料均属原创者所有,仅供学习交流之用,请勿转载并做其他非法用途.如有侵犯您的版权有损您的利益,请联系我们会立即改正或删除有关内容!