| 设计 任务书 文档 开题 答辩 说明书 格式 模板 外文 翻译 范文 资料 作品 文献 课程 实习 指导 调研 下载 网络教育 计算机 网站 网页 小程序 商城 购物 订餐 电影 安卓 Android Html Html5 SSM SSH Python 爬虫 大数据 管理系统 图书 校园网 考试 选题 网络安全 推荐系统 机械 模具 夹具 自动化 数控 车床 汽车 故障 诊断 电机 建模 机械手 去壳机 千斤顶 变速器 减速器 图纸 电气 变电站 电子 Stm32 单片机 物联网 监控 密码锁 Plc 组态 控制 智能 Matlab 土木 建筑 结构 框架 教学楼 住宅楼 造价 施工 办公楼 给水 排水 桥梁 刚构桥 水利 重力坝 水库 采矿 环境 化工 固废 工厂 视觉传达 室内设计 产品设计 电子商务 物流 盈利 案例 分析 评估 报告 营销 报销 会计 | |||||
|
|||||
|
|||||
|
|||||
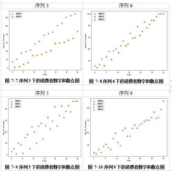
摘 要《操作系统》是计算机及其相关专业的一门专业核心课程。本次课程设计主要完成和解决进程同步中的生产者消费者问题,掌握信号的使用方法和P、V操作,实现进程之间同步与互斥,加深对进程同步互斥概念的理解。本设计主要采用Java语言编写,数据结构为Java中独有的LinkedBlockingQueue,即对信号量机制的封装与优化。在初始设计中我们设计了三个进程,即一个生产者进程和两个消费者进程,随机生成产品的数字大小,并在一定程度上规定了生产和消费的速度比。后期通过发散思维,将生产消费速度比随机化,并随机生成了进程数目,即若干生产者与若干消费者,完成了全局的随机化。在模拟的过程中,将各个消费者的数字之和迭代统计输出到Excel中,并用Python处理形成可视化界面并顺利完成课设。关键词:互斥,阻塞队列,全局随机化,迭代统计输出目录摘 要 IV1 问题描述 12 需求分析 23 概要设计 33.1 思路方法 33.2 程序流程图 34 详细设计 54.1 数据结构 54.2 生产者/消费者模式与进程通信 54.3 生产者进程详细设计 64.4 消费者进程详细设计 75 调试分析 86 用户手册 96.1 使用环境 96.2 操作要求与流程 97 测试结果 107.1 序列1的测试 107.2 序列4的测试 127.3 序列7的测试 137.4 其余序列的测试 157.5 HTML页面样例 168 设计体会 17参考文献 18














毕业66资料站 biye66.com ©2015-2026 版权所有 | 微信:15573586651 QQ:3903700237
本站毕业设计和毕业论文资料均属原创者所有,仅供学习交流之用,请勿转载并做其他非法用途.如有侵犯您的版权有损您的利益,请联系我们会立即改正或删除有关内容!