| 设计 任务书 文档 开题 答辩 说明书 格式 模板 外文 翻译 范文 资料 作品 文献 课程 实习 指导 调研 下载 网络教育 计算机 网站 网页 小程序 商城 购物 订餐 电影 安卓 Android Html Html5 SSM SSH Python 爬虫 大数据 管理系统 图书 校园网 考试 选题 网络安全 推荐系统 机械 模具 夹具 自动化 数控 车床 汽车 故障 诊断 电机 建模 机械手 去壳机 千斤顶 变速器 减速器 图纸 电气 变电站 电子 Stm32 单片机 物联网 监控 密码锁 Plc 组态 控制 智能 Matlab 土木 建筑 结构 框架 教学楼 住宅楼 造价 施工 办公楼 给水 排水 桥梁 刚构桥 水利 重力坝 水库 采矿 环境 化工 固废 工厂 视觉传达 室内设计 产品设计 电子商务 物流 盈利 案例 分析 评估 报告 营销 报销 会计 | |||||
|
|||||
|
|||||
|
|||||
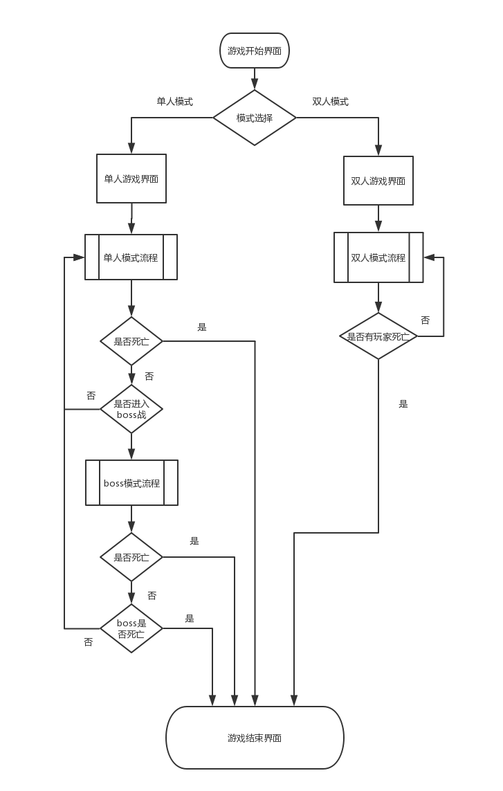
基于HTML和JS实现的保护海洋动物、保护环境的硬核小游戏《西瓜皮斯拉》目录基于HTML和JS实现的保护海洋动物、保护环境的硬核小游戏 1《西瓜皮斯拉》 1Part1. 作品设计 2作品主题 2作品设计思路 2单人模式: 2双人模式: 3Part2. 代码设计 3模块设计(冒号后为子模块) 3流程设计: 3 Part1. 完成报告 81、作品的完成度较高,预想的功能基本实现。 82、作品最终的效果由几个场景构成 83、遇到的问题: 8 Part2. 设计自评和小组评价 81、 自评 82、 小组成员评价 8 Part3. 课程总结 91、 知识点总结: 92、 对本学期课程学习感想: 93、 对课程的一件和建议: 9Part1. 作品设计作品主题1、《西瓜皮斯拉》是一款宣传保护海洋动物、保护环境的硬核小游戏。2、作品意义:希望能让玩家在游戏中学到保护海洋的重要性。灵感来源:游戏角色来源于DOTA2英雄船长昆卡和潮汐猎人。 游戏背景借鉴于电影《哥斯拉》。








毕业66资料站 biye66.com ©2015-2026 版权所有 | 微信:15573586651 QQ:3903700237
本站毕业设计和毕业论文资料均属原创者所有,仅供学习交流之用,请勿转载并做其他非法用途.如有侵犯您的版权有损您的利益,请联系我们会立即改正或删除有关内容!