| 设计 任务书 文档 开题 答辩 说明书 格式 模板 外文 翻译 范文 资料 作品 文献 课程 实习 指导 调研 下载 网络教育 计算机 网站 网页 小程序 商城 购物 订餐 电影 安卓 Android Html Html5 SSM SSH Python 爬虫 大数据 管理系统 图书 校园网 考试 选题 网络安全 推荐系统 机械 模具 夹具 自动化 数控 车床 汽车 故障 诊断 电机 建模 机械手 去壳机 千斤顶 变速器 减速器 图纸 电气 变电站 电子 Stm32 单片机 物联网 监控 密码锁 Plc 组态 控制 智能 Matlab 土木 建筑 结构 框架 教学楼 住宅楼 造价 施工 办公楼 给水 排水 桥梁 刚构桥 水利 重力坝 水库 采矿 环境 化工 固废 工厂 视觉传达 室内设计 产品设计 电子商务 物流 盈利 案例 分析 评估 报告 营销 报销 会计 | |||||
|
|||||
|
|||||
|
|||||
摘要:随着高校的不断壮大,学校的招生数量越来越多,与此同时,高校的学生的档案管理问题不得不受到各大高校的重视,如何有效的管理学生档案已经成为了学校的重中之重,这也是对学校发展有重要影响的一项任务。随着信息时代的到来,教育改革也紧随潮流,教育事业也需要做信息化的改变,这也是一项重要问题。高校规模随着学生数量的增加,信息管理会不断加大难度,来自全国各地的学生,有不同的问题存在,那么对学生档案进行合理、有效的管理成为了摆在高校面前的问题。这是开发一套合理的、有效的学生档案管理系统,不仅可以极大的提高学校的建设发展,而且对学校的教学水平也可以进行检测,实现科学化和信息化的管理工作。随着信息化时代的进步的今天,高校的发展也要与时俱进,信息管理工作也要紧随其后。
从来自各个大学的学生档案管理进行实际调查、分析和研究之后,为了适用于普通高校以及所学技术,设计出一套基于AngularJs的高校学生档案信息管理系统,提高了对学生档案管理信息管理的科学性,降低了人工管理可能出现的误差以及信息不准确的情况。根据当前各大流行的技术,加上采用B/S架构方式,主要采用angularjs和html和css以及一些后台技术如jsp,sql等后台技术,整个系统进行设计与实现。由于从事前端学习,所以用了前端的主流框架AngularJs为基础设计,针对于现有的校园网络结构体系,旨在于减少人力的使用和系统维护的费用,尽可能的在现有的资源里,实现合理化分配,对系统进行可行性分析。本文内容针对系统开发过程中的需求分析为基础,采用模块化设计的思路,对真个系统的功能和具体的实现细节进行了详细的划分,明确了用户可以交互等功能,并对每个模块功能和整个系统的并发性进行测试,每个功能模块都有详细的设计,从而将其整合成一个完整的系统,并对于系统各个功能之间的联系功能进行了设计与测试,验证了各个功能模块的性能。
本文用高校为基础,设计了一套高校学生档案管理系统,针对于学校学生的信息管理进行了整合,并在高校的应用实践中取得了良好的效果。
关键词:学生档案管理;AngularJs;B/S架构方式;信息管理
The design and implementation of college student file information management based on AngularJs
Abstract: along with the growing of colleges and universities, the school recruit students number increasing, at the same time, college students' archives management issues have to brought to the attention of the colleges and universities, how to effectively manage student profile has become a top priority of the school, this is also has important influence on school development of a task. With the advent of the information age, the education reform also follows the trend. Education also needs to make changes in informationization, which is an important issue. Scale along with the increase of the number of students in university, information management will be increasingly difficult, students from all over the country, there is a different problem, then to the student files for reasonable and effective management has become a problem in front of colleges and universities. This is to develop a set of reasonable and effective student records management system, not only can greatly improve the construction and development of the school, but also to the school's teaching level can be tested, achieve scientification and informatization management. With the development of the information age, the development of colleges and universities should be updated, and the information management should be followed closely.
From students from each university archives management actual investigation, analysis and research, in order to apply to regular institutions of higher learning and learning technology, design a set of college students based on AngularJs archives information management system, improve the file management to the student information management more scientific, reduces the artificial management possible error and the situation of the information is not accurate. According to the major popular technology, analyzed the current network mode of B/S structure, the main use angularjs and HTML and CSS, as well as some background technologies such as JSP, SQL background such as technology, design and implementation of the whole system. Studing in front, with the mainstream of the front frame so AngularJs based design, for the existing system of campus network structure, aims to reduce the use of human and system maintenance costs, as far as possible in the existing resources, realize the rationalization of distribution, the system feasibility analysis. Content in this paper, based on the need for the system development process analysis, adopts the modular design thinking, on the whole system function and specific implementation details in detail, has been clear about the users can interact, and other functions, and the function of each module and the concurrency of the whole system, each function module has a detailed design, and to integrate it into a complete system, and the function for the connection between the system each function has carried on the design and testing, to verify the performance of each function module.
In colleges and universities as the foundation, design a set of university student file management system, especially for the students of the school information management integration, and application practice in colleges and universities has achieved good effect.
Keywords:student file management; AngularJs; B/S architecture; information management
目录
摘要 I
Abstract II
目录 IV
1、引言 1
1.1项目开发的背景 1
1.2项目开发的意义 2
1.3研究现状 2
1.4研究内容 2
2、可行性分析 4
2.1相关技术 4
2.1.1 DIV+CSS 4
2.1.2 Jsp + Servlet +Ajax 4
2.1.3 MVC模式 5
2.2可行性分析 6
2.2.1技术上的可行性 6
2.2.2经济上的可行性 6
2.3总体设计原则 6
3、系统分析 7
3.1业务流程分析 7
4、系统设计 8
4.1系统功能设计 8
4.2系统数据库设计 8
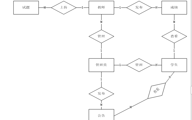
4.2.1概念结构设计 8
5、系统实现 11
6、软件测试与分析 13
6.1软件测试的重要性 13
6.2测试实例的研究与选择 13
6.3测试环境与测试条件 14
6.4系统运行情况 14
6.5系统评价 14
结 论 16
参 考 文 献 17
致 谢 18










毕业66资料站 biye66.com ©2015-2026 版权所有 | 微信:15573586651 QQ:3903700237
本站毕业设计和毕业论文资料均属原创者所有,仅供学习交流之用,请勿转载并做其他非法用途.如有侵犯您的版权有损您的利益,请联系我们会立即改正或删除有关内容!